无标记多线免疫层析传感器用于食品中沙门氏菌的快速检测
发布时间:2025-07-18 浏览次数:425 分享:
沙门氏菌是一种广泛存在于自然环境中的食源性病原体,对人类健康构成严重威胁。它常引发腹泻、呕吐、腹痛和发热等症状,尤其对婴幼儿和老年人等免疫力低下人群,可能导致肠穿孔或败血症,甚至危及生命。据世界卫生组织统计,沙门氏菌是全球四大食源性病原体之一,每年在美国就导致超过4万人感染。传统的沙门氏菌检测方法,如微生物培养、聚合酶链反应(PCR)、酶联免疫吸附试验(ELISA)等,虽然灵敏度高,但存在设备要求高、操作复杂、耗时长等缺点,难以满足快速现场检测的需求。而免疫层析试纸条(ICTS)因其快速、便捷、低成本等优势,在食品安全领域备受关注,但传统ICTS依赖抗体夹心结构,存在对高质量配对抗体的依赖和灵敏度受限等问题。
创新技术:无标记多线ICTS传感器的诞生
近日,上海理工大学健康科学与工程学院的研究团队在《Analytica Chimica Acta》杂志上发表了一项突破性研究成果,他们开发出一种基于四苯基乙烯衍生物(TCBPE)的无标记多线免疫层析传感器,用于广泛检测食品中的沙门氏菌。这一创新技术首次将多线ICTS试纸条与荧光细菌探针相结合,无需复杂的抗体标记和配对抗体,仅用一种抗体即可完成检测,大大简化了检测流程。
工作原理:荧光探针与多线检测
该传感器的核心原理是利用TCBPE这种具有聚集诱导发光特性的材料。研究人员通过化学方法将TCBPE与沙门氏菌表面的氨基结合,形成稳定的绿色荧光探针。当样品溶液在试纸条的硝酸纤维素膜上因毛细作用上升时,如果存在沙门氏菌,其与膜上的抗体特异性结合,形成绿色荧光信号,且荧光强度随沙门氏菌浓度增加而增强。多线设计进一步提升了检测灵敏度,相比单线传感器,灵敏度提高了约50%。

图1 TCBPE标记沙门氏菌及用于检测沙门氏菌的ICTS平台示意图。(A) TCBPE标记沙门氏菌的机制;(B) 多线ICTS传感器的结构;(C) 多线ICTS传感器检测TCBPE@沙门氏菌的原理及结果解读。
性能优势:高灵敏度与特异性
实验结果表明,该多线ICTS传感器对沙门氏菌的检测范围可达104–108 CFU/mL,对鼠伤寒沙门氏菌的视觉检测限为6.0×104 CFU/mL,低于传统单线ICTS传感器的检测限(1.2×105 CFU/mL)。

图2 单线免疫层析传感器(ICTS)和多线ICTS传感器的灵敏度。(A) 分析性能;(B) 沙门氏菌浓度的校准曲线。
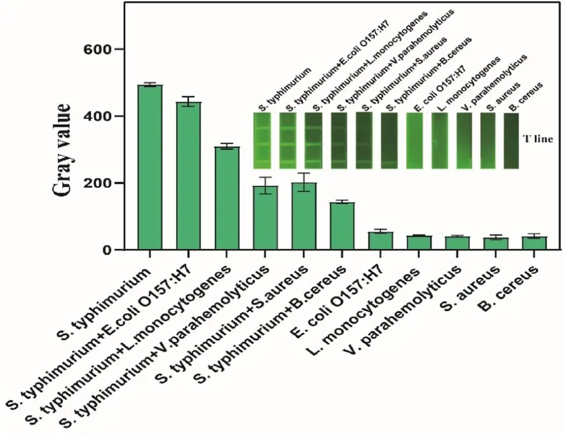
此外,该传感器能够成功检测出18种不同血清型的沙门氏菌,包括B型和C1型,且与其他5种常见食源性病原体(如大肠杆菌O157:H7、单核细胞增生李斯特菌等)无交叉反应,显示出极高的特异性。

图3 多线ICTS传感器对41株沙门氏菌的广谱检测。41株沙门氏菌的浓度为10 7 CFU/mL,以营养肉汤(NB)培养基作为空白对照。

图4 多线ICTS传感器的特异性分析。鼠伤寒沙门氏菌、单核细胞增生李斯特菌、大肠杆菌O157:H7、副溶血性弧菌、金黄色葡萄球菌和蜡样芽孢杆菌的浓度均为10 7 CFU/mL。在存在鼠伤寒沙门氏菌(10 7 CFU/mL,50μL)的情况下,对多种细菌(10 7 CFU/mL,50μL)进行特异性分析。
实际应用:快速检测食品中的沙门氏菌
为了验证该传感器在实际食品检测中的应用潜力,研究人员选择了牛奶、卷心菜汁、鸡肉和饮用水等常见食品样本进行测试。在这些样本中加入已知浓度的沙门氏菌后,多线ICTS传感器能够准确检测出沙门氏菌的存在,且检测限与理论值一致。例如,在饮用水和卷心菜汁中,当沙门氏菌浓度为104 CFU/mL时,肉眼即可观察到明显的绿色荧光信号;而在牛奶和鸡肉样本中,检测限为105 CFU/mL。尽管复杂食品基质可能会对荧光信号产生一定的猝灭作用,但该传感器仍表现出良好的检测性能,回收率在75.8%–117%之间。

图5 食品样本中沙门氏菌的检测。(A) 饮用水;(B) 卷心菜;(C) 牛奶;(D) 鸡肉。
未来展望:推动食品安全检测技术发展
这项研究开发的无标记多线ICTS传感器为沙门氏菌的快速检测提供了一种新的思路和工具。与传统的ELISA、PCR和电化学传感器相比,该传感器具有操作简单、检测快速、成本低廉等优势,尤其适合在食品加工、运输和销售等环节进行现场快速检测。然而,该技术也存在一些需要进一步改进的地方,例如目前的荧光信号需要借助专业软件进行分析,未来可以开发基于智能手机的应用程序,实现现场快速定量检测和数据传输,构建一个更加便捷、高效的食品安全检测系统。
参考文献:Wu Y, Wang Y, Wu Y, et al. Label-free multi-line immunochromatographic sensor based on TCBPE for broad-spectrum detection Salmonella in food[J]. Analytica Chimica Acta, 2024, 1320: 343006.
来源:微生物安全与健康网,作者~蔡伟程。
