使用大肠杆菌群落预测放牧家畜养殖场的食源性致病菌
发布时间:2024-08-14 浏览次数:424
食品安全一直是公众关注的焦点,食源性致病菌污染导致的疾病爆发更是威胁着人们的健康。牧场养鸡作为一种可持续的农业技术,近年来逐渐兴起。然而,牧场养鸡的环境特点和养殖方式与传统养鸡存在差异,其食源性致病菌污染情况也备受关注。
大肠杆菌作为一种常见的肠道指示菌,在粪便污染监测中发挥着重要作用。研究表明,大肠杆菌数量与某些食源性致病菌的存在具有关联,这使其成为潜在的致病菌预测指标。然而,目前关于大肠杆菌与牧场养鸡场食源性致病菌之间关系的研究相对较少。近期,美国佐治亚大学的Abhinav Mishra研究团队在Food Microbiology期刊中发表了题为“Using E. coli population to predict foodborne pathogens in pastured poultry farms”的文章。

该文章从11个牧场养鸡场收集了1690个样本,包括粪便、土壤、加工过程中的整鸡冲洗液(WCR-P)、冷却和储存后的整鸡冲洗液(WCR-F)和盲肠样本,随后对每个样本类型进行大肠杆菌、弯曲杆菌、沙门氏菌和李斯特菌的分离和计数,最后使用逻辑回归模型分析大肠杆菌数量与致病菌存在之间的关联。
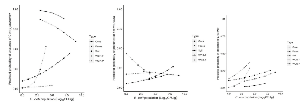
不同大肠杆菌群落数与食源性致病菌预测率如下图所示:

结果表明:大肠杆菌数量与沙门氏菌存在之间存在显著正相关关系,尤其是在土壤和WCR-P样本中。大肠杆菌与李斯特菌菌群数量的关系与样本的种类密切相关:粪便和盲肠样本中弯曲杆菌的初始检出率很高,但随着大肠杆菌浓度的增加,弯曲杆菌的检出率呈下降趋势。土壤和WCR-P样本中,随着大肠杆菌数量的增加,弯曲杆菌存在的概率显著增加。大肠杆菌与李斯特菌之间的关联性较弱,大肠杆菌数量与李斯特菌存在之间存在弱正相关关系。
综上所述,大肠杆菌可以作为一种指示菌,用于预测牧场养鸡场及其加工设施中食源性致病菌的存在。其中,WCR-P样本对于估计弯曲杆菌、沙门氏菌和李斯特菌的流行率最有用,而WCR-F样本中大肠杆菌和三种致病菌之间的关联性较弱。特定样本中大肠杆菌计数可为牧场养鸡场及其加工设施中食源性致病菌的风险评估和管理提供了实用且有效的方法,有助于预测牧场养鸡场到餐桌全过程中食源性致病菌的存在,从而提高食品安全。
论文来源:https://doi.org/10.1016/j.fm.2022.104092
来源:微生物安全与健康网
链接:https://www.mbiosh.com/column/testing-technology/testing-technology-method/28207
