-
囊泡病毒顽抗,消毒策略需更新
2025-06-04 -
饮用水安全监测新利器:镁铝双金属氢氧化物构建微生物富集回收体系
2025-06-03 -
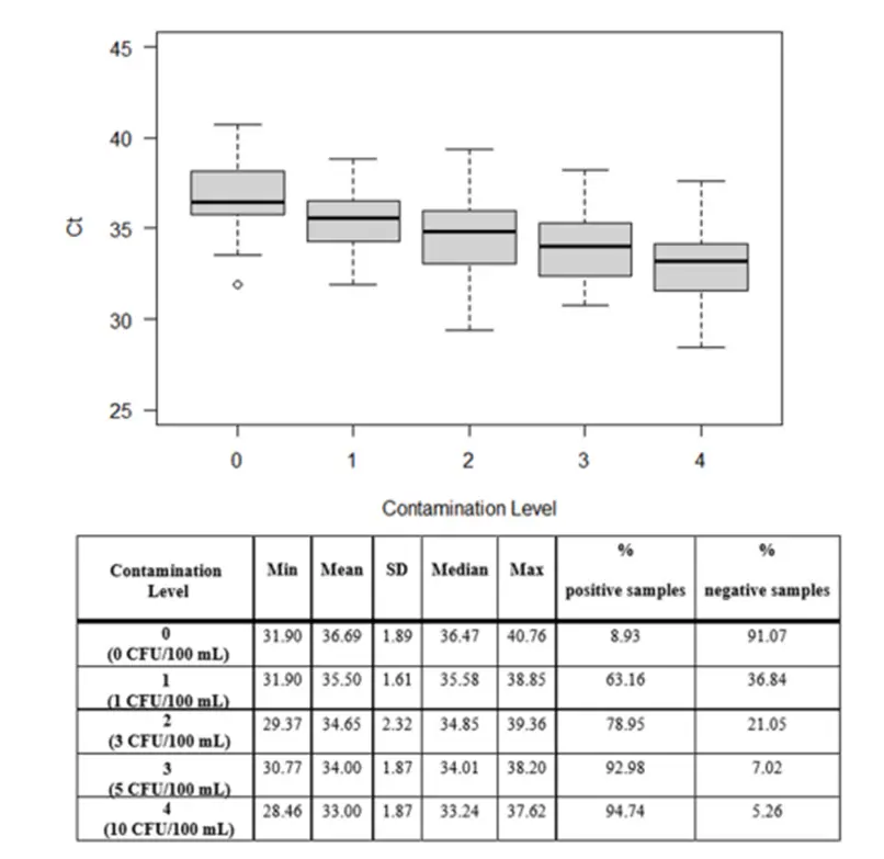
欧盟研究:实时逆转录聚合酶链反应技术助力快速检测饮用水中的大肠杆菌
2025-05-26 -
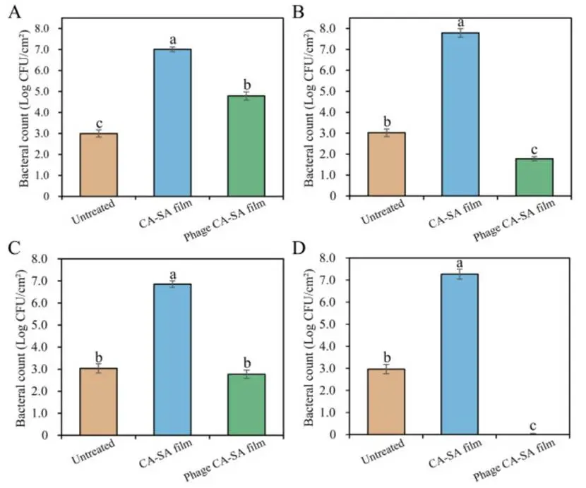
可食用抗菌膜:食品中沙门氏菌防控的新策略!
2025-05-22 -
解锁新技能!双功能纳米抗体助力SEA检测
2025-05-20 -
抗生素检测新突破!便携式生物传感器实现牛奶中痕量抗生素残留快速筛查
2025-05-19 -
关于征求《食品安全国家标准 散装即食食品中致病菌限量》第1号修改单等28项食品安全国家标准和修改单(征求意见稿)意见的函
2025-05-15 -
新型微球微阵列技术实现食源性病原体高通量检测
2025-05-14 -
从72 h到 3 h:看“分子猎手”如何让致病菌无处遁形
2025-05-13 -
副溶血性弧菌的快速检测:磁弛豫开关生物传感器的设计与应用
2025-05-12
